|
|
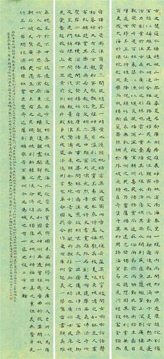
少年组“书法之星”:梁粱 |
|
|
少年组“书法之星”:许馨月 |
|
|
少年组“书法之星·网络人气奖”:朱容德 |
|
|
少年组“书法之星”:温瀚翔 |
|
|
少年组“书法之星”:刘祯言 |
|
|
少年组“书法新秀”:曹安喆 |
|
|
少年组“书法之星”:卢恒正 |
“红棉杯”广州书法之星海选活动获奖名单公布,广州市书法家协会副主席陈启成,广州市书法家协会理事罗炳生、徐壹民、石志军,广州市书法家协会篆书篆刻委员会副秘书长林伟劲,中国书法家协会会员陈苗夫,广州市白云区书法家协会主席麦荣等多位书法家围绕优秀作品进行,剖析少年书法现状。 ■收藏周刊记者 梁志钦 少年组“书法之星·网络人气奖”:朱容德 ●广州市书法家协会理事徐壹民点评: 容德同学的作品取法于二王一脉,拼接形式与章法留白让人眼前一亮,不难看出有较好的基础,就参赛作品的形式也下了功夫。 字组的大小对比,线条的粗细变化,疏密处理都有一些推敲,很不错。作为十四岁孩子来说,已属不易。 就此作而言,印章多了,显得花哨,应该精简,结合章法起画龙点睛的作用。对线条的理解还是不够透彻,对“势”的理解也相对欠缺,用笔结字也会比较拘谨,有些被束缚住了,作者若能领悟练与创的变化,多在临创过渡下功夫,假以时日必将更上一层楼。 少年组“书法之星”:许馨月 ●广州市书法家协会篆书篆刻委员会副秘书长林伟劲点评: 少年组作者许馨月此件作品取法钟繇、王羲之楷书的风格,大部分字的用笔、结构都很好。点画干净利落,气息清静典雅,取势横向,颇具晋韵。不足之处,有个别字形略显生硬,结构也有待斟酌,用笔也稍欠气韵。贵在这个年纪有此控笔能力和书法理解,建议在此阶段再深入临帖,多体会楷书笔画古、活、雅之意,增加书写性,那往后的书法道路会更宽广。 少年组“书法之星”:梁粱 ●广州市书法家协会副主席陈启成点评: 观近年各种展览都有数量众多细字多字布局安排形式感极强的作品入展获奖,该作者的作品也甚具这类作品的特点,五百余字正文分成三细条幅打破通篇大面积的刻板,左边标题+“蚂蚁”式小字虚实彰映,甚具观而悦之感。书写亦颇为可观:隶法法度基本准确,用笔肯定果断流畅,已具较好的水平。但不知何故标题下的小字隶书与正文的隶书水准有较大的差异。建议通过更多有效的学习进一步提升结字、协调性、笔调变化等的能力。 少年组“书法之星”:温瀚翔 ●中国书法家协会会员陈苗夫点评: 此作化手卷形式裁贴成中堂形制,巧思与精心,相映生辉。 作品取法唐褚遂良楷法,笔意生动,提按分明。结体方整稳健,揖让有度,又以界格规整布局秩序,使整体节奏鲜明。 颜真卿说:“点画皆有筋骨,字体自然雄媚之谓乎。”褚楷以提按传递筋骨,神采奕奕。建议瀚翔小书友在横、竖、斜钩等主笔用笔上,多探索靠笔尖来表现弹跳内力,增加线条的丰富性;此作的分、民、衣等字,加强笔势,使中宫再紧凑些;辰字写法较生僻,须慎用;作品书末需交代内容出处,以示完整。 少年组“书法之星”:刘祯言 ●广州市书法家协会理事罗炳生点评: 第一眼看刘祯言的草书作品,不敢相信这是一个少年组的作品。作品显示出来的是少有的“少年老成”的到位与熟练,评为“书法之星”,实至名归。此作以草书为之,取法宋代黄庭坚,内容选择了《国歌》歌词,奔放的笔墨,融进了中华民族的血肉长城,个人感觉笔墨与内容相得益彰。无论用笔、用墨、结字和章法,都显示了相当不错的水平。期望祯言同学,不断学习,丰富字内与字外功夫,少年强,则国强,少年书法强,则国书法强! 少年组“书法新秀”:曹安喆 ●广州市白云区书法家协会主席麦荣点评: 曹安喆同学这幅作品取法《张迁碑》等汉碑的精髓,作为少年组的作品,的确很不错,用笔很厚重也很大胆果断,张迁碑朴拙味道抓住了。就是整体的墨色和线条稍微有些僵硬和刻板,线条稍微“涩”一些,体会逆锋顶纸的摩擦感,线条也不要太光滑,有些字的结构还可以再准确些,字势偏散了,比如“青”下面的“月”字部份过于宽,“燃”字的四点、“欲”字的雁尾等都须多加注意,过于随意的用笔和结字在今后的学习之路要更加注意和纠正,建议继续深入临习汉碑,把隶书灵动天真笨拙古雅趣味写出来。 少年组“书法之星”:卢恒正 ●广州市书法家协会理事石志军点评: 此幅大字对联,取法主要以张猛龙为主,墨色温润,线条沉实,结字成熟,空间紧密,起收笔变化丰富。正文平稳,款字险绝,一大一小,一静一动,一平一险,对比强烈,意味隽永,7岁小朋友能有这样的艺术水准,实属少见,望恒正小朋友日后能戒骄戒躁,争取有更大成就!
