惠州龙门江厦谭氏: 文武多进士 功名冠龙门 2023年07月07日 惠州名门世家 曹杰

江厦谭氏宗祠大门贴着“家风 理学” 黄克锋 摄

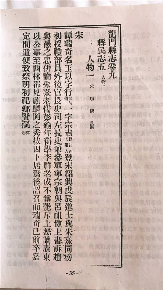
《龙门县志》记载了龙门谭氏始祖谭瑞奇的生平事迹

位于龙门博物馆的谭纶邦进士匾额,保存完好

谭氏宗祠内,“五蝠来朝”木雕图案栩栩如生

江厦村不仅历史文化底蕴深厚,自然环境优越,充满生机

谭氏宗祠虽几经修缮,但仍保留着明代宗祠建筑的大气风格,基础几乎原封不动

  

  策划/统筹 羊城晚报记者 陈骁鹏

  

  编者按

  惠州龙门谭氏,是当地有史可查的较早的家族之一,有着“谭半城”美誉。早在元末明初,谭氏就成为龙门的望族,历代科举士子不胜枚举,成就斐然。在龙门历史上,江厦谭冠英是龙门最后一个进士;唯一一个武进士谭纶邦也是来自江厦。一武一文,堪称江厦谭氏的代表性人物。

  为何江厦村能够“文武双全”,谭氏家族传承600多年的家风密码是什么?本期“惠州名门世家”让我们走近龙门江厦村。   

  (李海婵)

  

  文/图 曹杰

  

  在惠州龙门的望族中,龙城江厦谭氏和龙田菱角塘廖氏源远流长,双枝竞秀,子嗣最茂。

  新中国成立之前,很长时间里,龙门当地有“谭半城”“廖半县”的说法。即龙门县城附近,谭氏族人占城镇总人口的一半;龙门全县境内,廖氏族人占全县总人口的一半。

  谭氏开基始祖为谭瑞奇,南宋绍兴十八年进士,与朱熹同榜,官声卓著;廖氏开基始祖为廖坚,其重孙廖金凤,更是以武功扬名,因勤王有功,获封太尉,为龙门古代官阶之最高者。清代康熙六年,龙门知县杨熚修《龙门县志》,其中能入列传的人物只有两位,那便是“谭瑞奇”和“廖金凤”。而今,谭氏子孙遍布龙门,其中以龙门县龙城镇江厦村最为集中,也最具代表性。

  学者陈运栋在著作《客家人》中指出,南宋士人南迁的原因,归纳而言,一是“勤王流宦”,二是“讲学经商”。“他们是拓荒凿空,开创新天地,发扬中原文化于南疆,而非传统观念里的逃避和退隐。因此当时的南迁,都与精忠大义有关,至于天灾人祸的逼迫,不过是外在原因极小的一端罢了。”

  数百年来,谭氏子孙扎根在龙门这片热土上,继承祖辈的家风美德,积极进取,奋发有为,用实际行动践行着“拓荒凿空,精忠大义”的精神,在文学和武功上,都取得了令人瞩目的成绩,其中谭瑞奇、谭纶邦、谭冠英,三人出一姓,为一族。居一村,传一脉,冠一县。文武进士,千古传奇,更是冠绝龙门。

  

  十条家规,立“品行端正”范式

  

  作为龙门史志有载的最古老的南迁家族之一,江厦谭氏开基始祖之谭瑞奇和龙田廖氏开基始祖之廖坚、廖金凤,社谭刘氏开基始祖之刘仲明,龙华水坑开基始祖之李延龄,作为士人,都是在南宋时期,携家族迁居至龙门。

  他们将家族命运与国运相连,举族南迁,在陌生的土地上,上报国家,下安人心。赢得了荣耀的同时,也为子孙树立了榜样。人多力量大,在烽火四起的乱世,这四大姓氏迅速在龙门扎根,并在短时间内迅速发展壮大。在此后数百年的时光中,其子孙各自以不同的方式,给龙门发展史留下了浓墨重彩的一笔。

  其中,龙门江厦谭氏开基始祖谭瑞奇,名玉,以字行世。他是江西弋阳人,少年时期便品行端正,秉承着“江西才子善读书”的传统,谭瑞奇在南宋绍兴十八年高中进士,与朱熹同榜,可谓少年得志。当时的南宋,风雨飘摇、纲纪废弛,为人刚直、品行端正的谭瑞奇看不惯官场的黑暗腐败,经常上书劝谏,匡正时弊,因此得罪了很多达官显贵,包括与他有同年之好的理学大家朱熹。大家合力攻讦他,朝堂之上,喧嚣尘上,谭瑞奇贬官南迁。

  关于他迁居龙门的过程,清康熙六年《龙门县志》有详细的记载:“宁宗朝与吕祖俭上书论赵汝愚之忠、朱熹老儒、彭龟年旧学、李祥老成不当罢斥,上怒,贬广东,以公事至西林都长沙乡,见麒麟冈山水竹石可爱,因卜居焉。”

  谭瑞奇落籍龙门,不仅是个人生命意义的安顿,还是龙门历史发展的一件极富代表性的文化事件。虽然此后不久他就故去了,但朝廷并没有忘记谭瑞奇,“嘉定间遣使致祭”。嘉定是宋宁宗一朝最后的年号,或许是板荡思良臣,朝廷派特使到龙门拜祭谭瑞奇,似乎在向世人透露宋宁宗为谭瑞奇平反之意。

  谭瑞奇生有五子,分别是谭敦孔、谭敦颜、谭敦孟、谭敦礼、谭敦宗,他们的名字“孔、孟、颜”分别代表儒家宗师“孔子”“孟子”和“颜回”;“礼、宗”分别代表“礼仪”和“宗法”,从他儿子的名字就能看出,他对子孙在科举文教方面的深远寄托。谭瑞奇死后,五子离散他乡,只有谭敦颜在龙门定居下来,龙门谭氏子孙,大多出其门下。

  开基始祖谭瑞奇,为江厦谭氏子孙立下“品行端正”的范式。后世子孙,对他的经历和精神进行总结延伸,结合修身齐家的需要,形成《谭氏家规十条》:“礼让宜明,雍睦宜调。困穷宜恤,承祧宜慎。品行应端,交友宜择。本业宜勤,持家宜俭。祭扫当虔,内外宜肃。”《谭氏家规十条》言简意深,务实朴素,成为龙门谭氏子孙修身标准之一。

  在《谭氏家规》的浸润下,始于南宋的龙门谭氏人才辈出,在元末明初,发展成为龙门的望族。此后历代科举士子不胜枚举,成就斐然。清康熙六年的《龙门县志》,其中参入修撰的谭氏子孙,就有谭岸先、谭嘉枏等,二人皆有功名,品行端方。

  其中,谭嘉枏还是龙门有名的诗人。他曾写诗歌咏龙门仙女峰“玉质凌空立海滨,坐忘尘世几十春。支机不兴乘槎客,丹鼎相随跨鹤身。九女未堪为近侍,三姑何处结芳邻?刘郎何处曾相识,似向天台忆故人。”诗歌想象奇崛,写景生动,在龙门士林中广为流传,足可见其学养才情。

  

  文武兼修,进士功名冠龙门

  

  进士出生的谭瑞奇,为子孙后代种下了一颗读书的种子,此后谭氏子孙,晴耕雨读,在龙门繁衍生息,安定而富足。元末明初,天下大乱,万山林立的龙门相对安宁,江厦谭氏得到了长足发展。

  据《广东省龙门县谭氏族谱》记载,那时江厦谭氏丁财十分兴盛,谭氏先祖谭明海乘势崛起,组织游民,开荒耕种,鼎盛时期东从三洞村至周田,南自文笔金鸠庙山至花围村前,西至王宾交界,数十万亩荒山田地,都归谭氏所有,此外谭氏先民还兴建马栏屋场,派有人长住马栏屋养马,后往来广州,运输贸易,积累了大量的财富。也是在这个时期,谭氏族人在江厦周边开枝散叶,现在保留在江厦的家祠、文笔塔、书舍、碉楼等,也都是在明朝创建,可见那个时期江厦谭氏的财力。

  经济基础决定上层建筑,明朝中晚期,谭氏族人开始崭露头角,出现在县志之中。如谭屿、谭丛菊等人,都是品行端正,德高望重的乡邦贤达。但是真正奠定江厦谭氏社会影响的人物,还是谭纶邦和谭冠英,前者是龙门唯一一个可考的武进士,后者是龙门最后一位进士。二人一文一武,都是进士,同出江厦,在整个龙门乡村可谓冠绝古今。

  谭纶邦武艺高强,中武进士之后,长期在东南沿海一带,效力于军旅,功成身退后,归隐田园,侍奉老母,忠孝两全。

  与谭纶邦不同,谭冠英自幼醉心文墨,热爱公益,少年时代便造福乡里。光绪二十一年中进士后,他表现十分突出,任翰林院检讨,掌修国史。出入翰林,在封建时代,是读书人的最高荣耀。谭冠英性格恬淡,善于养生,最后年九十三卒。他的儿子谭锡光,有乃父之风,倡建兴贤书院,积极培养人才。民国时期,很多龙门杰出人士,都曾就读于此,然后去广州读新学,将革命思想再带到龙门。可谓开龙门近代化之先河。

  时至今日,先人开创的科举传奇,依然在江厦村广为津津乐道,成为村子的荣光所在。在江厦谭氏宗祠中央,还摆放着一个直径三十厘米左右的精致红砂岩石球,村民有传这是谭瑞奇留下的“财源(圆)滚滚”风水石;或者说这是谭纶邦“魁星踢斗”时的演武石球,也有人说这是谭冠英入职翰林、顶戴朝珠的放大模型。

  据考证,这块石头,从形制和功能上看,应该是明代谭氏宗祠扩建时,神龛上牌楼的柱础,至少有两个,另一个消失在历史长河之中。虽然说法莫衷一是,但是江厦对修文修武,建功立业的热情,始终如一。

  

  刚毅豪迈,忠厚家训传承久

  

  数百年来,江厦谭氏族人浸润在忠孝传家、耕读立世的家风之中,向来以允文允武、敢于任事著称,这也养成了江厦谭氏刚毅豪迈,不畏强暴的性格特征。当时,无论是任职此地的流官还是啸聚山林的土匪,都不敢太过觊觎他们。

  抗日战争爆发之后,宁静的江厦村变得不再宁静,由于靠近县城,这里多次遭到日军的轰炸和袭扰。1944年7月2日,一支千余人的日军队伍到龙门扫荡,龙门县城及很多周边的村民为躲避兵锋,来到了围高城坚的江厦,寻求庇护。为了保护村民,江厦谭氏族人在族老谭焕尧的组织下,大出义兵,伏击日寇,取得了可喜的战果。

  而今,“爱国守纪,尊师重教。孝顺父母,尊老爱幼。友爱兄弟,敦亲睦族。耕读为本,知书达礼。持身忠厚,乐善好施。”已经成为龙门江厦谭氏的家训。这里的青年人,依然热衷于读书、习武,在文教和体育上,不断突破自我,创出新的佳绩。

  在乡村振兴战略下,江厦村古老的历史、丰富的民俗成为得天独厚的文旅资源。古老的江厦,正焕发出新的活力与生机。