|
|
|
|
|
|
|
|
|
|
|
|
|
|
|
|
|
|
|
|
|
|
|
|
|
|
|
|
|
|
|
|
|
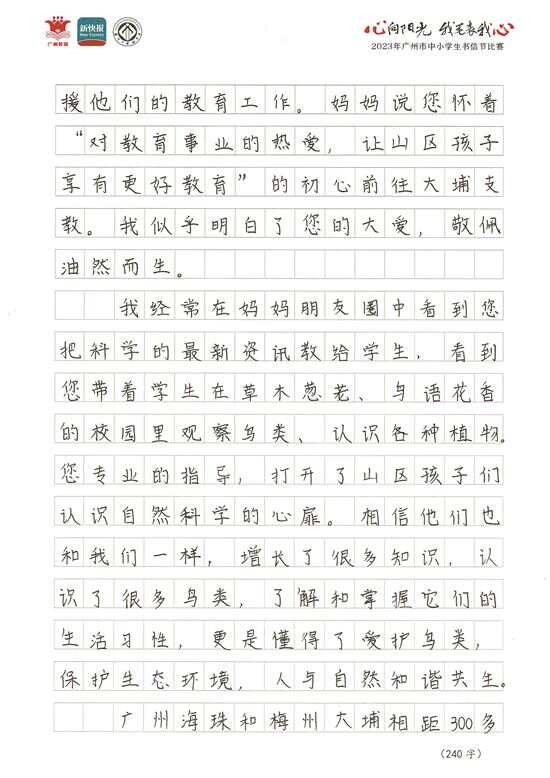
2023年广州市中小学生书信节比赛优秀作品鉴析① 自古师恩难忘,纸短难言情长。书信自古以来是抒发师生之情最常见的载体之一,在互联网飞速发展的今天,更多同学选择重拾这一浪漫的方式,表达对师恩的感激之情。 在本次由广州市教育局主办,共青团广州市教育局委员会、广东新快报社和广州市艺术中学联合承办的“心向阳光·我笔表我心·2023年广州市中小学生书信节比赛”一等奖作品中,多位参赛者选择了以“老师”作为写信的对象。无论学生来自哪个年级,无论孩子是活泼外放型还是内敛文静型,无论笔触是稚嫩朴实还是娴熟优美,笔尖之上表达的是更加酣畅淋漓和真挚难忘的师生情。 “我一直有个愿望:成为一名像徐老师那样的人民教师” 作者 文俊晴 书信是一种浪漫的表达 “我个人比较内敛,不善言辞,觉得笔墨更能表达我的想法和情感。”在本次书信节比赛中,文俊晴的参赛作品《忆往昔,念师恩;展未来,承师情》获得了一等奖,她以真挚的语言表达了对班主任徐琳老师的感激之情。 文俊晴告诉新快报记者,选择写信给老师是有感而发。“整个高三,徐老师给予我们的陪伴、关怀和指导,对我影响很大,也让我很感动。刚好有这个书信比赛,就借此机会写了一封信给她”。 文俊晴喜欢写作,上小学时就学会了写信。那时,她与父母在广州生活,而她的姐姐跟着爷爷、奶奶在老家生活,她常常通过书信和姐姐联系。“当时见面比较少,就在信里分享一些生活趣事,说一些悄悄话。现在想起来,这是很珍贵的回忆。”文俊晴说,她会将小时候写的一些东西收集起来,偶尔在家里翻出一些旧信件,就会很惊喜地一一打开来看。“我觉得信承载着我的感情,有时写信会比口头表达更加真挚”。 上了中学后,文俊晴写信的频率明显下降,但她对书信依然有特别的情结。“我一直认为书信是中国人的一种传统表达方式,很浪漫,所以想保留这样的习惯。”她说。 中学期间,文俊晴看过不少名人书信,比如《傅雷家书》等,使她感触良深。 文俊晴说,她一直有一个愿望,就是成为像徐老师那样的人民教师。“从小到大我遇到了很多好老师,他们是除了家人以外给过我很多爱和教导的人,我也想成为这样的人,把这种爱传递下去”。 指导老师 徐琳 有了书信,我和学生就可以双向沟通 徐琳是文俊晴的指导老师,也是她写信的对象。当看到文俊晴的作品时,徐琳直言“很感动”。徐琳说:“我是高三才带这个班,跟俊晴相处时间不算特别长,但从信中的字里行间,能感觉到她真挚的情感,很感动,也很欣慰。” 在徐琳的印象中,文俊晴是性格文静、爱写作的小女生,在班里成绩一直不错。对于俊晴的作品,她点评说:“内容符合主题,情感比较真挚,从结构和形式上说,也符合高中作文的结构模式,层次比较清晰。” 虽然人们在日常生活中渐渐少写信,但在徐琳看来,无论是在语文教学还是在日常交流中,书信仍起着非常重要的作用。“比如高三作文备考,书信就是学生必须掌握的一种文学体裁;而在人与人的日常交流中,很多时候用口头语言比不上文字表达得深刻和真挚。” 徐琳认为,在孩子的成长过程中,情感的表达非常重要,而书信往往可以发挥积极的作用。“开家长会的时候,我会向家长们提及,对于高中生来说,口头交流他们不一定愿意听,但如果借助书信的方式,孩子们可能更清楚家长的想法,也更容易接受建议。而我也鼓励学生们,如果有一些难以言说的心里话,可以通过书信的方式和家长交流。” 徐琳说,自己偶尔也会收到学生的手写信。“在教师节或考试前后,会有学生写了信放在我的办公桌上,向我倾诉心中的想法。我看完也会给他们一些反馈,这样就完成了一次双向的沟通”。 广州市增城区荔城中学副校长 单国坚 书信中流淌的情谊更深刻绵长 在本次书信节比赛中,广州市增城区荔城中学有不少学生获奖。副校长单国坚介绍,该校通过图书馆和班级图书角创造读书氛围,每学期举办读书分享会和读书主题竞赛活动,以此来培养学生的阅读习惯。“在以读促写的同时,鼓励学生积极参加各级各类征文活动。学校也会开设荔风儒韵特色课程,通过学科渗透、主题活动等形式,让同学们的校园生活受到优秀传统文化的浸润”。 “古人云:尺牍书疏,千里面目。指的是从书信中可以看到文笔之美、书法之功,更能感受到一份亲切感。对比现代化的通信方式,写信显得更加委婉,更易于表达感情,也更具有传统书香的文化韵味。”单国坚认为,在物质生活日益丰盈的当下,对情感厚度和精神家园的渴望,已经成为一种普遍的社会需要。虽未谋面,但文字中流淌的情谊显得那样深刻、绵长、温馨。“慢生活”的手写书信日渐成为“奢侈品”,需要大家精心呵护。 在单国坚看来,中小学生书信节比赛以撰写书信的方式,让中小学生积极主动向父母、老师、亲朋好友或者自己倾诉自我成长中的真情实感,营造了积极、健康、阳光、和谐的家校协同育人环境,有利于学生的身心健康成长。他表示:“本次书信节比赛活动传承‘心向阳光·我笔表我心’的温暖情怀,让学生们从一封封信件中懂得爱、体会爱、收获爱,同时也让他们从一封封信件中看到一个远方的世界,激励他们相互欣赏、相互学习、共同进步。” “老师更像是朋友,默默鼓励我、帮助我” 作者 杜乐贤 阅读开启了我尝试写作的旅途 “我是一个腼腆的人,不太敢跟老师说话。回想了自己的初三生涯,发现陈老师对我的影响很大,所以参赛时选择写信给她。”在本次书信节比赛中,杜乐贤的作品《敬恩师,感恩情——给语文老师的一封信》获得了初中组一等奖。 在这篇作文中,杜同学回忆了陈老师教会自己“诚信”“热爱阅读、热爱写作”“勇担责任”这三堂“人生课程”的故事,字里行间表达出一名成长中的青春期少年对老师崇高的敬意和真诚的感谢。 其实,杜乐贤并非一直善于写作。他告诉新快报记者,自己在进入初中之前成绩并不好,对于语文学习更是缺乏自信。是陈老师走进了他的生活中,为他打开了一扇语文学习的窗口。她告诉同学们:“可以通过阅读,去到实际上从未去过的地方,感受从来没有过的人生体验。”杜同学回忆:“每个星期,老师都会组织午间阅读,我跟着她的节奏阅读了很多名著,渐渐地爱上了读书。”从《骆驼祥子》到《儒林外史》再到《简爱》,书读得越多,杜同学越羡慕每一位妙笔生花的作者。后来,陈老师鼓励同学们写作,从“模仿到练习,再到创新”,杜同学发现了写作的乐趣,写作水平也在日积月累中逐渐提升。 内向腼腆的杜乐贤有很多话想对老师说,但当面不易说出口,写信就成了一种表达情感的好途径,正因为这样,他才写了此次参赛的作品。虽然杜同学目前已从初中毕业,但他对陈老师仍有许多挂念:“陈老师不仅是我的人生导师,更是一位朋友,在旁边默默地鼓励我、帮助我。在她的帮助下,我有了很大的成长,我非常感谢她。” 指导老师 陈丽娜 我也会用书信与同学们沟通 在获奖名单公布后,新快报记者联系了杜同学的指导老师,同时也是他书信作品的写作对象——陈丽娜。在陈老师的印象里,杜同学谦虚好学、低调内敛,经过初中三年的学习,他逐渐从一个“不自信”的孩子成长为文化功底较深的优秀学生。在这个过程中,陈老师见证了杜同学的努力,也十分认可他通过阅读提升写作能力的探索和尝试。 陈丽娜直言,真情实感是杜同学这封信最大的亮点。“他的作文会把自己个人故事以及真实的情感融入到叙事中,特别能打动人”。 事实上,作为语文老师以及年级级长,陈丽娜经常采用书信的形式与同学们交流,开展德育工作。在她看来,拉近与学生的距离不是书信最重要的教育功能,“动情才是最重要的”。她曾写过“给全班的一封信”,鼓励同学们抓紧中考前的时间,努力拼搏、珍惜友谊;作为新班主任接手毕业班时,她写了“致家长的一封信”,不仅介绍了自己,还针对初三学生给家长提供了育儿建议。班里很多同学都曾收到来自陈老师的信件,或是安慰鼓励、或是善意提醒,杜乐贤同学也曾是她的写信对象之一。师生之情,在一封封真诚的信件中传递。 陈丽娜认为,书信能让人敞开心扉、消除隔阂,每个孩子都有倾诉的欲望,陈丽娜鼓励学生通过写信书写自己的亲身经历、表达内心情感。 除此之外,陈丽娜认为书信更有收藏留存的作用,她希望孩子们能在写信、收信的过程中珍藏成长的经历,即使毕业离开了学校,也能通过书信这一“纽带”与过去的自己保持交流。 广州市番禺区育龙中学校长 安华宇 以书香润泽每一名学生的成长 杜乐贤同学在广州市番禺区育龙中学度过了初中三年时光。育龙中学校长安华宇表示,以书香润泽学生、陶冶情操、开启智慧,是学校促进每一名学生成长的重要途径。“读书活动的开展,读书习惯的养成,读书风气的形成,离不开书香校园的熏陶与浸润。”他说,为了鼓励学生阅读、激发师生阅读的热情,学校做了多方面的努力。 安华宇介绍,育龙中学设有智慧图书馆和“悦读岛”自动借阅机,方便学生借阅图书。同时,负责老师通过大数据的统计与反馈,了解学生的阅读情况。“除此之外,学校还会组织初一、初二年级进行午间自主阅读,每班学生每天集中进行20分钟的阅读活动。”安华宇说,育龙中学还鼓励师生分享自己的阅读感悟,每个月组织一次阅读分享活动,“让学生不仅获得真知,更获得成就感和价值感”。 对于此次中小学书信节比赛,安华宇校长认为,书信可以表达情感,分享感悟,传递祝福,有助于学生记录自己的思考、记录自己的成长。对那些不善于或羞于表达的学生,可通过心理辅导教师以书信的形式,对学生开展心理健康教育;学校还可以以书信为载体,开展各种活动,如开设“我想对你说”校园书信广播专栏,鼓励学生敞开心扉,说出自己的心里话,增强同学之间的友谊,增进师生之间的联系。 ■作品选摘 《鸟语花香支教路——致科学陈老师的一封信》 广州市海珠区赤岗小学 邬玥如 小学高年级组(5年级至6年级) “鸟语蝉鸣、万木葱茏,教室外大榕树上暗绿绣眼鸟在枝头上跳跃嬉戏,热闹极了。每年这个时候,您就会带着我们穿梭在校园中寻找各种鸟的踪迹。现在是您前往梅州市大埔县支教的第二个学期了,我和观鸟社的同学都很想念您。” “广州海珠和梅州大埔相距300多公里,但我们的心永远连在一起。我们将铭记您的教导,崇尚科学、练就本领,用实际行动保护大自然,爱护我们共同的地球。” 《给赵老师的一封信》 广州市天河区元岗小学 朱倩瑶 小学低年级组(1年级至4年级) “记得以前您一个人教三个班,一上午都有课。但是一百多人、一百多本作业,您却清清楚楚地记得谁的作业没完成,谁错了哪道题,有时候真好奇,您那满头的白发和这出奇好的记忆力是怎么匹配的?课间,您总是站在讲台上,叫这个过来改错,叫那个过来讲题。我很纳闷,您已经上年纪了,为什么这么不知疲倦呢?”“您也不算是特别风趣的人,但就是有一股魔力深深吸引着我,让我从此爱上了数学课,爱做数学题。” 《写给胡老师的信》 广州市番禺金海岸学校 曹哲 小学低年级组(1年级至4年级) “从家访第一眼看到您,就觉得您是全校最温柔、最漂亮的老师。那时就希望成为您的学生,结果如愿以偿。” “刚上一年级,我还不太适应小学的生活,记得有一天,我没有吃早饭,您了解后就给我拿了饼干,这让我感到非常温暖。什么话我都愿意和您讲。” ■策划:刘浩 ■统筹:新快报记者 王娟 ■执行:马丽岩 陈杏华 ■采写:新快报记者 徐绍娜 邓善雯
